ГДЗ решебник по алгебре 9 класс Макарычев, Минд...
ГДЗ итоговое повторение / функции 2 алгебра 9 к...
ГДЗ Номер Вариант 4 Алгебра 9 класс Макарычев Д...
Макарычев Алгебра 9 Класс Учебник Pdf - instruc...
Учебник Алгебра 9 Класс Макарычев 2010 Pdf Бесп...
ГДЗ по алгебре 9 класс Макарычев, Миндюк, учебн...
Алгебра. 9 класс. Дидактические материалы - Фео...
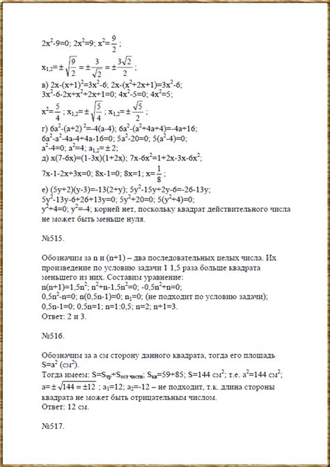
алгебра 9 класс макарычев
ГДЗ по Алгебре 9 класс Дидактические материалы ...
ГДЗ (решебник) по Алгебре 9 класс Макарычева - ...
Алгебра 9 Класс Макарычев Учебник Онлайн 2008 -...
ОК ГДЗ Алгебра 9 класс Макарычев 2024 Дидактиче...
Алгебра. 9 класс. Дидактические материалы, Евст...
Алгебра. Дидактические материалы. 9 класс (с уг...
Макарычев Алгебра 9 Класс Учебник Pdf - rosexpress
решебник к Дидактическим материалам по Алгебре ...
ГДЗ упражнение 9 алгебра 9 класс Макарычев, Миндюк
И.е. Феоктистов. Алгебра. 9 Класс. Дидактически...
гдз по алгебре 9 класс макарычев 2012, дидактич...
Алгебра за 9-ый класс - Ю.Н. Макарычев, Н.Г. Ми...
Учебник Алгебра 9 Класс Макарычев Epub - regula...
41 - Алгебра 9 класс Макарычев - YouTube
Контрольные Работы По Алгебре 9 Класс Макарычев...
ГДЗ Номер Вариант 3 Алгебра 9 класс Макарычев Д...
Алгебра. 9 класс. Дидактические материалы - куп...
ГДЗ по алгебре для 9 класса Ю.Н. Макарычев - са...
ГДЗ контрольная работа / вариант 2 / К-3 1 алге...
И.Е. Феоктистов. Алгебра. 9 Класс. Дидактически...
Решебник (гдз) по учебнику алгебра 9 класс Мака...
Алгебра. 9 класс. Дидактические материалы. ФГОС...
Скачать рабочая тетрадь по алгебре 9 класс мака...
Алгебра 9 класс макарычев читать - Перспективно...