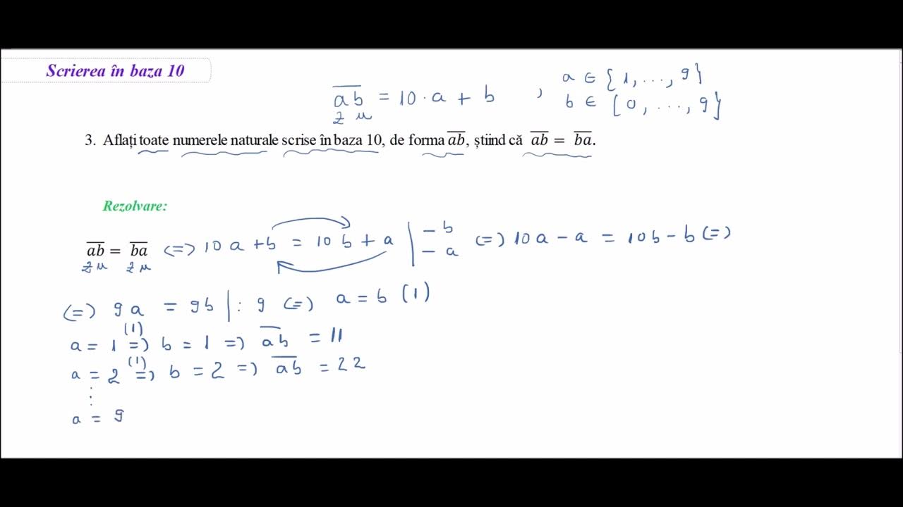
Scrierea in baza 10 - ex. 3 - Aflați toate numerele naturale scrise în ...

Scrierea in baza 10 - ex. 3 - Aflați toate numerele naturale scrise în ...