1.Гликозиды. Понятие о гликозидах, их строение,...
Лаурилглюкозид (Lauryl glucoside) купить оптом ...
Глиарид®, Gliaride® Шахмал – Монфа Трейд ХХК
4.4.2. Биохимическая характеристика важнейших s...
Презентация на тему: Гликолиз
Презентация на тему: Гликозидазы ротовой жидкости.
Lektsia_3_Alkaloidy_morfinana - презентация онлайн
Гликлазид Просто Инструкция Показание Применени...
Лаурил Глюкозид, 100 гр | HomeArt
4.4. Гликозиды
Гликолипиды. Гликозилдиглицериды, цереброзиды. ...
Co2-extract.ru - активы, компоненты и ингредиен...
2 Этап – анализ гидролизата
Шампунь Псорилом
Геліос гербіцид
LIP OIL УРУУЛ ГЯЛАЛЗУУЛАГЧ
Серцеві глікозиди. Частина 3. - YouTube
Глизид - МР 30мг №10 Шахмал | Цахим ЭХНБ
По-быстрому о лекарствах. Гликлазид - YouTube
АялуунФарм ХХК
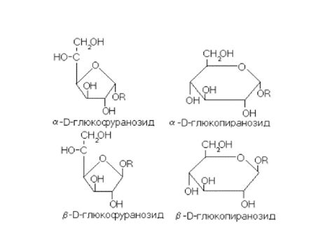
Образование гликозидов
Гликозиды - Основы биохимии
Пин от пользователя Guli на доске Женское лицо ...
Гликозиды, Методы идентификации моносахаридов -...
[삼개월애 성분사전] 라우릴글루코사이드 Lauryl G...
라우릴글루코사이드 Lauryl glucoside 화장품 성분...
Расшифровка структуры гликозидов - online prese...
15.1.5. Химические свойства
Моносахариды. Ди- и полисахариды. (Лекция 6) - ...
Гликолиз — Википедия | Биология, Медицина
Полисахаридтер метаболизмі - презентация онлайн