(Решено)Упр.25.7 ГДЗ Мерзляк 11 класс по алгебр...
(Решено)Упр.27.13 ГДЗ Мерзляк 11 класс по алгеб...
(Решено)Упр.6.31 ГДЗ Мерзляк 11 класс по алгебр...
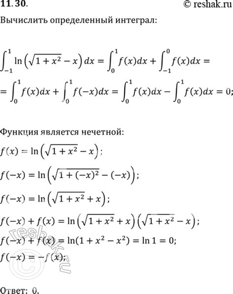
(Решено)Упр.11.30 ГДЗ Мерзляк 11 класс по алгеб...
(Решено)Упр.6.11 ГДЗ Мерзляк 11 класс по алгебр...
(Решено)Упр.4.50 ГДЗ Мерзляк 11 класс по алгебр...
(Решено)Упр.11.22 ГДЗ Мерзляк 11 класс по алгеб...
(Решено)Упр.11.11 ГДЗ Мерзляк 11 класс по алгеб...
(Решено)Упр.11.10 ГДЗ Мерзляк 11 класс по алгеб...
(Решено)Упр.11.29 ГДЗ Мерзляк 11 класс по алгеб...
(Решено)Упр.11.21 ГДЗ Мерзляк 11 класс по алгеб...
(Решено)Упр.6.8 ГДЗ Мерзляк 11 класс по алгебре...
(Решено)Упр.14.11 ГДЗ Мерзляк 11 класс по алгеб...
(Решено)Упр.13.37 ГДЗ Мерзляк 11 класс по алгеб...
(Решено)Упр.3.15 ГДЗ Мерзляк 11 класс по алгебр...
(Решено)Упр.11.2 ГДЗ Мерзляк 11 класс по алгебр...
алгебра 11 клас Мерзляк Поглиблене вивчення PDF...
(Решено)Упр.11.33 ГДЗ Мерзляк 11 класс по алгеб...
(Решено)Упр.11.31 ГДЗ Мерзляк 11 класс по алгеб...
(Решено)Упр.11.5 ГДЗ Мерзляк 11 класс по алгебр...
(Решено)Упр.5.18 ГДЗ Мерзляк 11 класс по алгебр...
(Решено)Упр.11.1 ГДЗ Мерзляк 11 класс по алгебр...
(Решено)Упр.5.40 ГДЗ Мерзляк 11 класс по алгебр...
(Решено)Упр.6.29 ГДЗ Мерзляк 11 класс по алгебр...
(Решено)Упр.26.11 ГДЗ Мерзляк 11 класс по алгеб...
(Решено)Упр.11.32 ГДЗ Мерзляк 11 класс по алгеб...
(Решено)Упр.14.1 ГДЗ Мерзляк 11 класс по алгебр...
(Решено)Упр.15.16 ГДЗ Мерзляк 11 класс по алгеб...
(Решено)Упр.11.9 ГДЗ Мерзляк 11 класс по алгебр...
(Решено)Упр.3.21 ГДЗ Мерзляк 11 класс по алгебр...
(Решено)Упр.11.3 ГДЗ Мерзляк 11 класс по алгебр...