Батарейки для часов - Peredacha-ik
Батарейки для часов
Батарейки для часов 10 шт в упаковке-in Батареи...
Замена батарейки в часах | Батарейки для часов ...
Самостоятельная замена батарейки в часах | Свой...
Новые Комплект часы карманные, работают, электр...
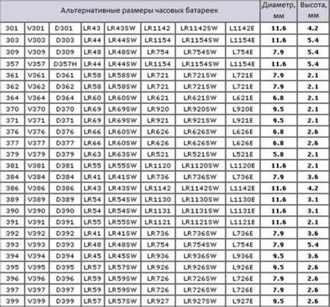
Батарейки для часов: характеристики, виды, таблица
5 часов - японских и немецких - на солнечной ба...
Батарейки для часов - 87 фото
Батарейки для настенных часов - 97 фото
ВЕЧНАЯ БАТАРЕЙКА для ЭЛЕКТРИЧЕСКИХ ЧАСОВ - YouTube
Продам хорошие кварцевые часы, рабочие, необход...
БЕСКОНЕЧНАЯ БАТАРЕЙКА в настенные часы, грандио...
Батарейка для наручных часов - 82 фото
Как выбрать лучшие алкалиновые батарейки для на...
Замена батарейки в наручных часах | Краткая инс...
Купить батарейки для часов и других устройств в...
Замена батарейки в швейцарских часах в Москве, ...
Часы хорошие заряд батареи держит неделю с поло...
Батарейка на часы - 92 фото
Батарейка. Элемент питания для часов — купить в...
Автоматические поворотные механические часы на ...
Супер батарейки для часов. - YouTube